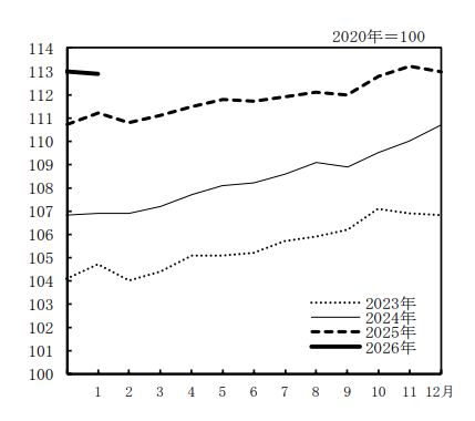
消 費 者 物価指数 総合指数 112.9前年同月比 +1.5% 前月比(季節調整値) ▲0.2% 投稿者:池田 哲郎2026年2月21日カテゴリー:数字 2020年基準 消 費 者 物価指数 全 国 2026年(令和8年 総務省 抜粋 https://www.stat.go.jp/data/cpi/sokuhou/tsuki/index-z.html 共有: X で共有 (新しいウィンドウで開きます) X Facebook で共有 (新しいウィンドウで開きます) Facebook LinkedIn で共有 (新しいウィンドウで開きます) LinkedIn いいね 読み込み中… 関連